江门市政府门户网站
繁体
政务微信
网站支持IPv6
江门市教育局
网站首页
组织机构
机构职能
领导信息
教育资讯
政务公开
通知公告
重点领域信息公开
公共企事业单位信息公开
行政执法公开
政策文件
政策解读
预决算公开
政府信息公开制度文件
党建工作
校园安全
政务服务
政民互动
通知公告
当前位置:
首页
>
部门频道
>
江门市教育局
>
政务公开
>
通知公告
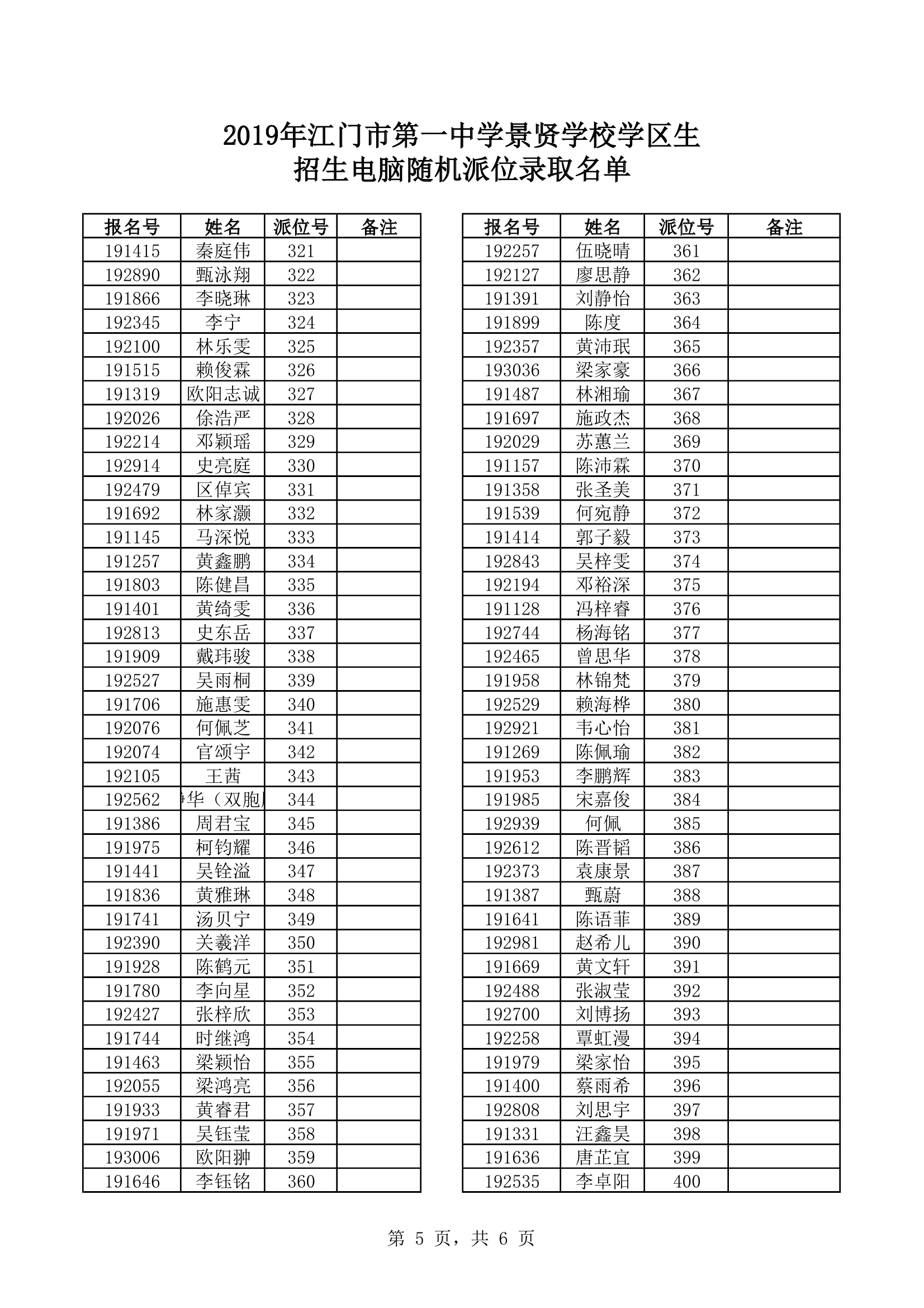
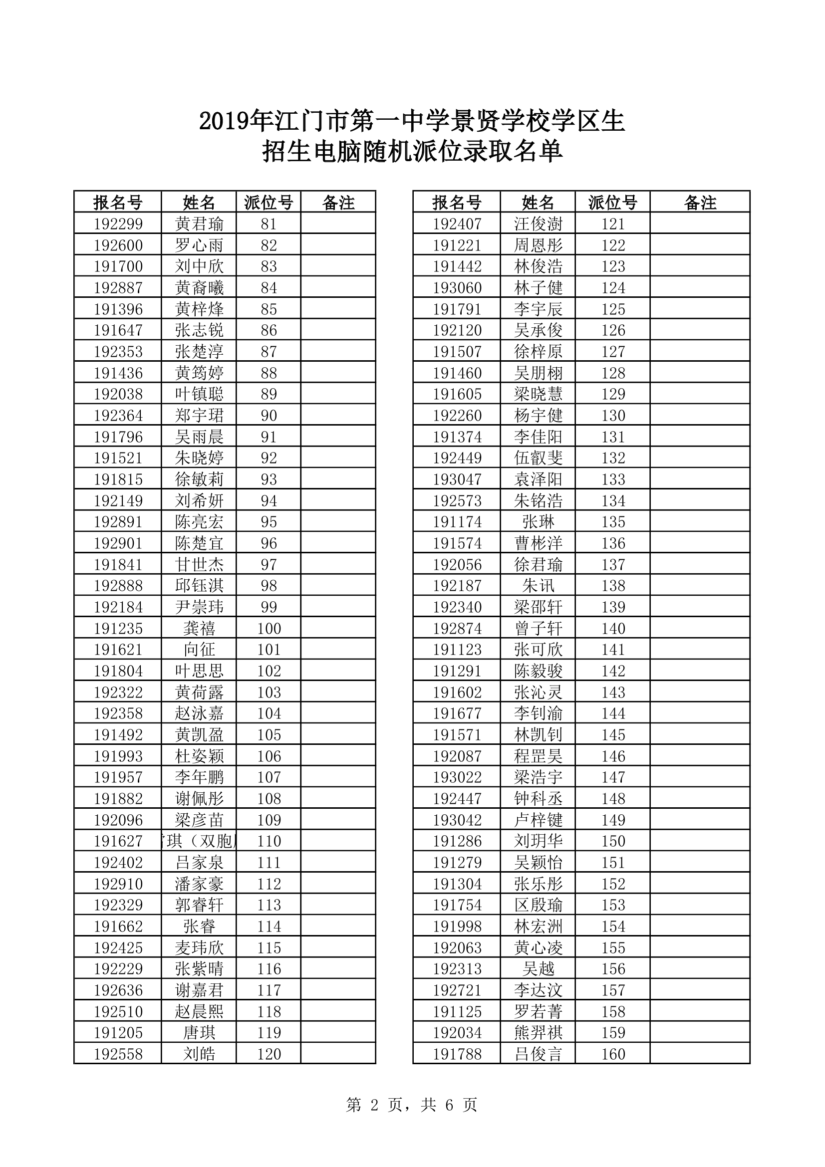
2019年江门市第一中学景贤学校招生录取名单
发布时间:2019-06-05 17:41:27
来源:基信科
字体【
大
中
小
】
分享到:
2019年江门市第一中学景贤学校政策照顾生录取名单
2019年江门市第一中学景贤学校现场类特长生录取名单
附件下载:
扫一扫在手机打开当前页
【TOP】
【
打印页面
】【
关闭页面
】